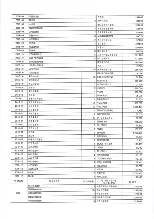
2018년 기부금 모금액 및 활용실적 > 기부금모금액및활용실적

본문 바로가기
사이드메뉴 열기



기부금모금액 및 활용실적


 

개인정보처리방침  ㅣ  이용약관    ㅣ 후원계좌:(우리은행) 1005-502-152380 동물을위한행동 

동물을위한행동 ㅣ 고유번호 : 106-80-07021 ㅣ 대표 : 전채은

주소 : 서울특별시 중구 남대문로 117, 11층   ㅣ 전화 : 02-318-3204 ㅣ 메일 : afanimals@naver.com

Copyright(c) 2018 Action for Animals. All Right Reserved. 관리자로그인


 Facebook

 Instagram

 Naver blog